![]() |
Ղեկավար։ Անուշ Խաչիկի Խաչատրյան քիմ․գիտ․թեկնածու, դոցենտ |
|
ORCID: 0000-0003-1210-9903 |
|
|
E-mail: khachatryan-ax@mail.ru |
|
|
Հեռախոս։ +37494884948 |
1994 թ․-ին կազմավորվել է Ազոմեթինների խումբը, որը 2012թ․-ից դարձել է լաբորատորիա, այդ տարիներին լաբորատորիան ղեկավարել է ք.գ․դ․ Մուշեղ Սիրունի Սարգսյանը։ 2023թ․-ին այն նորից դարձել է խումբ։
2023թ․-ից խումբը ղեկավարում է քիմ․գիտ․ թեկնածու, դոցենտ Անուշ Խաչիկի Խաչատրյանը, ով շարունակում է հետազոտությունների հիմնական ուղղվածությունն՝ էլեկտրոակցեպտոր խմբեր պարունակող ակտիվ էլեկտրաֆիլ ալկենների և ակտիվ մեթիլենային միացությունների փոխազդեցության ուսումնասիրությունը։
ՀԵՏԱԶՈՏՈՒԹՅՈՒՆՆԵՐԻ ՀԻՄՆԱԿԱՆ ՈՒՂՂՎԱԾՈՒԹՅՈՒՆԸ
Օրգանական սինթեզի ուսումնասիրություններ
- Իմինների, էլեկտրաֆիլ ալկենների (խալկոնների) և ամիդային խմբավորում պարունակող նուկլեոֆիլների (C-H թթուների) փոխազդեցության ուսումնասիրություն,
- Միքայելի ռեակցիայի հետևանքով ստացված միջանկյալ արգասիքների ներմոլեկուլային ցիկլման ռեգիոսելեկտիվության առանձնահատկությունների ուսումնասիրություն, այդ թվում Միքայելի ռետրո-ռեակցիայի ընթանալու հնարավորությունների վերլուծություն։
Նոր օրգանական համակարգերի սինթեզ
- Բազմաֆունկցիոնալ տեղակալված կարբո- և ազացիկլիկ միացությունների սինթեզ,
- Ստացված արգասիքների կենսաբանական հատկությունների ուսումնասիրություն։
ԽՄԲԻ ԱՇԽԱՏԱԿԱԶՄԸ
- Ա.Խ. Խաչատրյան ― խմբի ղեկավար, ք.գ.թ., դոցենտ
- Ա.Է. Բադասյան ― ավ. գիտ. աշխ., ք. գ. թ.
- Ա.Ա. Սարգսյան ― գիտ. աշխ., ք․գ․թ
- Կ.Ա. Ավագյան ― կրտ. գիտ. աշխատող
- Ա.Գ․Սիմոնյան ― կրտ. գիտ. աշխատող
- Ա․Ն․ Զոհրաբյան ― ավագ լաբորանտ
Խմբում պաշտպանված ատենախոսություններ՝ 5։
ՄԱՍՆԱԿՑՈՒԹՅՈՒՆ ԴՐԱՄԱՇՆՈՐՀՆԵՐԻ
- «Ասպիրանտների և երիտասարդ հայցորդների հետազոտությունների աջակցության ծրագիր – 2023» 23AA-1D001
- «Գիտական արդյունավետության խթանման դրամաշնորհային ծրագիր -2025»՝ 25RG-1D082
ԼԱՎԱԳՈՒՅՆ ԱՐԴՅՈՒՆՔՆԵՐ
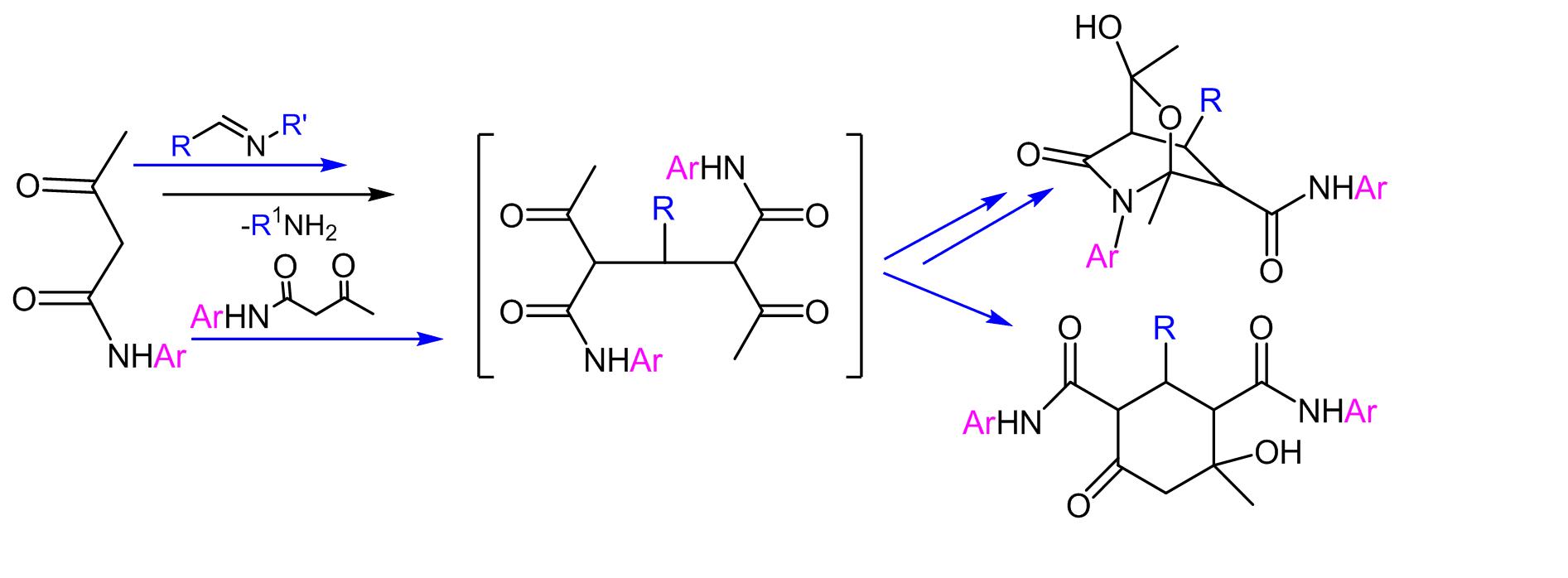
- Պարզվել է արալդիմինների և ացետոքացախաթթվի արիլամիդների փոխազդեցության քեմոսելեկտիվությունը։ Ցույց է տրվել, որ ներմոլեկուլային ցիկլումը կախված ելային մոլեկուլներում առկա տեղակալիչների էլեկտրոնային բնույթից ընթանում է կամ 3-արիլ-N,6-դիարիլ-3-հիդրօքսի-1,3-դիմեթիլ-5-օքսո-2-օքսա-6-ազաբիցիկլո[2,2,2]օկտան-7-կարբօքսամիդների (հետերոցիկլում) կամ 4-հիդրօքսի-4-մեթիլ-6-օքսո-2-արիլ-N1,N3-դիարիլցիկլոհեքսան-1,3-դիկարբօքսամիդների (կարբոցիկլում) կամ էլ դրանց խառնուրդի առաջացմամբ։

Chem. J. Armenia, 2015, v. 68, № 2, pp. 266-275
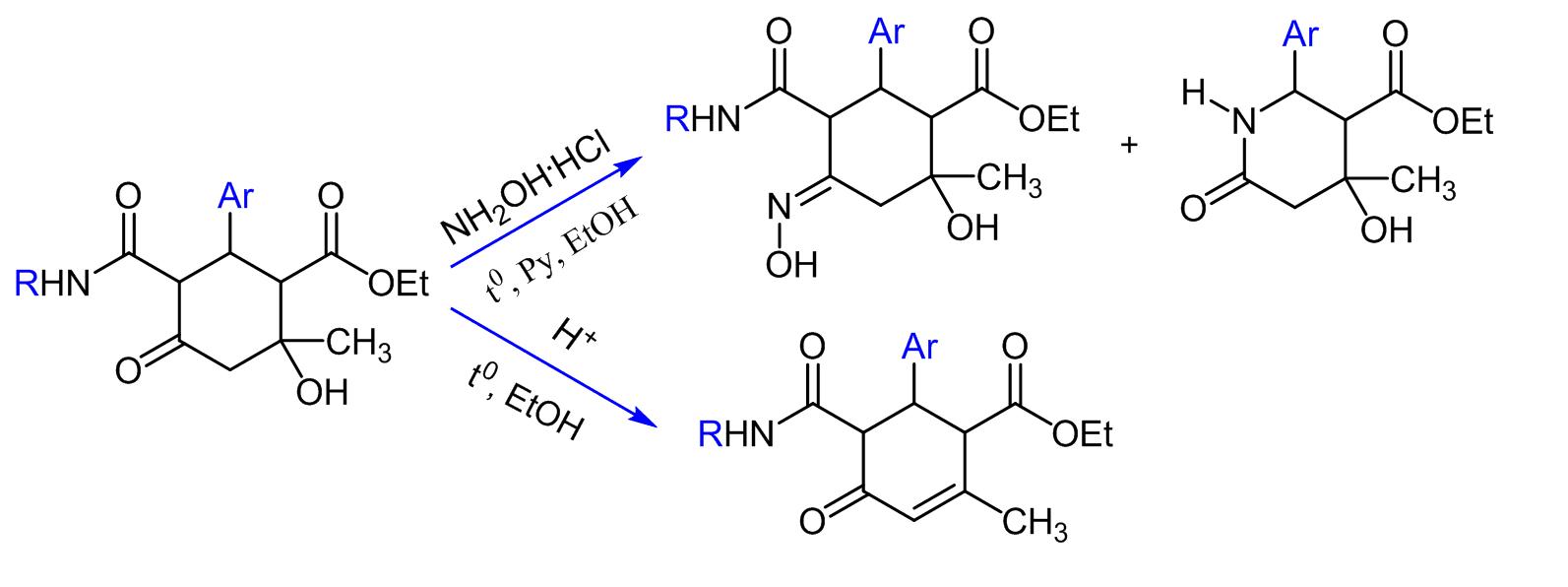
- Ցույց է տրվել, որ էթիլ 6-արիլ-5-(արիլկարբամոիլ)-2-հիդրօքսի-2-մեթիլ-4-օքսոցիկլոհեքսանկարբօքսիլատների և հիդրօքսիլամինի հիդրոքլորիդի փոխազդեցությունը բացի սպասվելիք համապատասխան օքսիմներից, որոշ դեպքերում բերում է նաև էթիլ 4-հիդրօքսի-4-մեթիլ-6-օքսո-2-արիլպիպերիդին-3-կարբօքսիլատների առաջացման: Առանձին փորձով հաստատվել է, որ վերջիններս չեն գոյանում ելային ցիկլոհեքսաններից, այլ հանդիսանում են համապատասխան օքսիմների և հիդրօքսիլամինի հիդրոքլորիդի հետագա փոխազդեցության արդյունք:

Chem. J. Armenia, 2019, v. 72, № 3, pp. 282-291
- Մշակվել են 3-ացետիլ-7,7-դիմեթիլ-1-արիլ-7,8-դիհիդրոխինոլին-2,5-(1H,6H)-դիոնների ստացման եղանակ։
Chem. J. Armenia, 2021, v. 74, № 1-2, pp. 113-121
- Մշակվել է արիլմեթիլիդենցիանքացախաթթվի էսթերի և մալոնաթթվի արիլամիդոէսթերների փոխազդեցությունից դիէթիլ 6–ամինո–1,4–դիարիլ–2–օքսո–1,2,3,4–տետրահիդրոպիրիդին–3,5–դիկարբօքսիլատների ստացման եղանակ։
Russ. J. Gen. Chem., 2023, V. 93, № 4, pp. 787–794
https://doi.org/10.1134/S1070363223040035
- Սինթեզվել են դիէթիլ 6-ամինո-1-արիլ-2-օքսո-1,2-դիհիդրոպիրիդին-3,5-կարբօքսիլատներ
Russ. J. Gen. Chem., 2024, V. 94, № 4, pp. 462–468.
https://doi.org/10.31857/S0044460X24040011
- Մշակվել է նոր, մատչելի եղանակ էթիլ 2-ամինո-1-(արիլ)-5-(արիլկարբամոիլ)-6-օքսո-1,6-դիհիդրոպիրիդին-3-կարբօքսիլատների սինթեզի

Chem․ Heterocycl. Comp․, 2024, 60(3/4), 150–155.
https://doi.org/10.1007/s10593-024-03311-5
ՎԵՐՋԻՆ ՏԱՐԻՆԵՐԻ ԼԱՎԱԳՈՒՅՆ ՀՐԱՊԱՐԱԿՈՒՄՆԵՐԻ ՑԱՆԿ
- S. Hayotsyan,A. A. Sargsyan, S. G. Kon’kova, A. Kh. Khachatryan, A. E. Badasyan, K. A. Avagyan, M. S. Sargsyan Russ. J. Org. Chem. 2019. Vol. 55. № 2. P. 282–286.
- S. Hayotsyan, A. A. Sargsyan, S. G. Kon’kova, A. Kh. Khachatryan, A. E. Badasyan, K. A. Avagyan, H. A. Panosyan, A. G. Ayvazyan, M. S. Sargsyan Russ. J. Org. Chem.. 2019. Vol. 55. № 4. P. 469-472.
- Sargsyan М. С., Avagyan К. А., Sargsyan А. А., Badasyan E., Khachatryan A. Kh., Ayvazyan A. G.; Balyan А. А., Kon’kova S. G., Ayotsyan S. S. Chem. J. Armenia 2019, 72(3), 304-313.
- А. А. Саргсян, С. С. Aйоцян, А. Х. Хачатрян, А. Э. Бадасян, Г. А. Паносян, К. А. Авагян, С. Г. Конькова и М. С. Саргсян Хим. ж. Армении, 2019. Т.72. № 3. С. 282-291.
- S. Sargsyan, K. A. Avagyan, A. A. Sargsyan, A. E. Badasyan, A. Кh. Khachatryan, S. G. Konkova, A. G. Manukyan, G. M. Makaryan and S. S. Hayotsyan Chem. J. Armenia. 2019. Vol.72. № 4. P.502-508.
- М. С. Саргсян, К. А. Авагян, А. А. Саргсян, А. Э. Бадасян, А. Х. Хачатрян, А. Г. Манукян, А.Г. Айвазян Хим. ж. Армении. 2020. Т.73. № 1. С. 61-68.
- А. А. Саргсян, А. Х. Хачатрян, А. Э. Бадасян, К. А. Авагян, А. Г. Манукян , Г.А. Паносян, А.Г. Айвазян, М. С. Саргсян Хим. ж. Армении. 2021. Т.74. №1-2. С.113-121.
- Sargsyan А. А., Khachatryan А. Kh., Badasyan А. E., Avagyan К. А., Manukyan А. G., Paposyan G. А., Sargsyan М. S. Chem. Armenia 2022, 75, № 1, 54-61.
- A. Avagyan, M. S. Sargsyan, A. E. Badasyan, A. A. Sargsyan, A. G. Manukyan, G. A. Panosyan, A. G. Ayvazyan, A. Kh. Khachatryan Russ. J. Gen. Chem. 2023, V. 93, № 4, pp. 787–794. https://doi.org/10.1134/S1070363223040035
- A. Khachatryan, K. A. Avagyan, A. A. Sargsyan, A. E. Badasyan Russ. J. Org. Chem., 2024, Vol. 60, No. 4, pp. 743–746. 10.1134/S1070428024040250
- Anush Kh. Khachatryan, Katya A. Avagyan, Anush А. Sargsyan, Anait G. Simonyan, Henrik А. Panosyan, Armen G. Ayvazyan, Alik E. Badasyan Chem․ Comp․ 2024, 60(3/4), 150–155 https://hgs.osi.10.1007/s10593-024-03311-5 https://hgs.osi.lv/index.php/hgs/article/view/8679
- А.Х. Хачатрян, К.А. Авагян, А.Э. Бадасян ЖОХ, 2024, т. 94, № 4, с. 462–468. https://doi.org/10.31857/S0044460X24040011ECIZJX
- A. Avagyan, A.E. Badasyan, A.A. Sargsyan, A.Kh. Khachatryan «New Emerging Trends in Chemistry» Conference (NewTrendsChem-2023), September 24-28, 2023, p.114. Yerevan, Armenia.
- A. Avagyan, A.E. Badasyan, A.Kh. Khachatryan VI All-Russian Conference on Organic Chemistry, September 23-27, 2024, p.165, Institute of Organic Chemistry RAS, Moscow.
- Kh. Khachatryan, A.A. Sargsyan, K.A. Avagyan, A.G. Simonyan, A.E. Badasyan, V.V. Dotsenko «New Emerging Trends in Chemistry» Conference (NewTrendsChem-2025), September 21-25, Book of Abstracts, 2025, p.199. Yerevan, Armenia.
- Kh. Khachatryan., K.A. Avagyan «New Emerging Trends in Chemistry» Conference (NewTrendsChem-2025), Book of Abstracts, September 21-25, 2025, p.151. Yerevan, Armenia.
