ՀՀ ԳԱԱ ՕԴՔ ԳՏԿ բնական չհագեցած միացությունների լաբորատորիայի գիտական հետազոտությունների ավանդական ուղղություններից են չհագեցած միացությունների մետաղակոմպլեքսներով բազմաֆունկցիոնալացումը, ընթացող փոխարկումների մեխանիզմների պարզաբանումը, բնական միացությունների (ֆերոմոնների, տերպենների, պերմետրինների, հորմոնների) և դրանց սինտոնների նպատակային սինթեզները: Լաբորատորիայում ստացված միացությունների շարքում գործնական նշանակությամբ առանձնանում են վնասատուներից մշակաբույսերի պաշտպանության էկոլոգիապես անվնաս միջոց հանդիսացող ֆերոմոնները: Դրանց սինթեզի նոր մարտավարությունների մշակումը, կատարելագործումը և ներդնումն այլընտրանք են վնասատուների դեմ պայքարի էկոլոգիապես խիստ վտանգավոր քիմիական մեթոդին:
Նշված հետազոտությունների արդյունքում տպագրվել են հարյուրավոր գիտական աշխատանքներ, ձևակերպվել մոտ 70 արտոնագրեր, պաշտպանվել 40 թեկնածուական և 4 դոկտորական ատենախոսություններ:
Լաբորատորիան 1968 թ․ հիմնադրել և մինչև 2003 թ․ ղեկավարել է ՀՀ ԳԱԱ ակադեմիկոս Շալիկո Հովակիմի Բադանյանը։ 2003-2018 թ․ լաբորատորիան ղեկավարել է ք․գ․դ Ժորա Արմենակի Չոբանյանը, իսկ 2018թ․-ից մինչ այժմ ք․գ․թ․ Հմայակ Բաբկենի Սարգսյանը։
ԱՆՁՆԱԿԱԶՄ
Սարգսյան Հմայակ Բաբկենի – լաբորատորիայի վարիչ, ք.գ.թ.
Հոբոսյան Նինա Գառնիկի – առաջատար գիտաշխատող, ք.գ.դ., դոցենտ
Բալյան Քրիստինե Վալերիկի– ավագ գիտաշխատող, ք.գ.թ.
Մովսիսյան Լուսինե Արամի- կրտսեր գիտաշխատող
Պողոսյան Հայկանուշ Ռուբենի – կրտսեր գիտաշխատող
Հակոբյան Լիլիթ Կոմիտասի – կրտսեր գիտաշխատող
Ղալեչյան Լիլիթ Մերուժանի – ասպիրանտ
ՍԱՐԳՍՅԱՆ ՀՄԱՅԱԿ ԲԱԲԿԵՆԻ – ԼԱԲՈՐԱՏՈՐԻԱՅԻ ՎԱՐԻՉ
Քիմիական գիտությունների թեկնածու
Կրթություն
1975-1980 թ.թ.-Մանկավարժական ինստիտուտի կենսաբանաքիմիական ֆակուլտետ Գիտական կոչում
1990 թ.- Քիմիական գիտությունների թեկնածու, ատենախոսության թեմա՝ «Թթվածին պարունակող հետերոցիկլերի սինթեզը 1-ալկեն-3-ինների և 1,3-ալկադիինների՝ մանգանի (III) ացետատով հարուցվող ռադիկալային ռեակցիաների հիման վրա» Բ.00.03 – «Օրգանական քիմիա» մասնագիտությամբ:
Աշխատանքային փորձ
1980-1983թ.թ. | ՀՀ ԳԱԱ ՕՔԻ ասպիրանտ |
1984-2006 թ.թ. | ՀՀ ԳԱԱ ՕՔԻ ավագ գիտաշխատող |
2006-2018 թ.թ. | ՀՀ ԳԱԱ ՕԴՔ ԳՏԿ ավագ գիտաշխատող |
2018 թ.- մինչ այժմ | ՀՀ ԳԱԱ ՕԴՔ ԳՏԿ բնական չհագեցած միացությունների լաբորա-տորիայի վարիչ |
2019 թ.- մինչ այժմ 2022 թ.- մինչ այժմ | ՀՀ ԳԱԱ ՕԴՔ ԳՏԿ գիտատեխնիկական խորհրդի անդամ Քիմիայի 010 Մասնագիտական խորհրդի անդամ |
Գիտական հոդվածների քանակ՝ 35:
Լեզուներ՝ անգլերեն, ռուսերեն
ՆԻՆԱ ԳԱՌՆԻԿԻ ՀՈԲՈՍՅԱՆ – ԱՌԱՋԱՏԱՐ ԳԻՏԱՇԽԱՏՈՂ

Քիմիական գիտությունների դոկտոր, դոցենտ
Կրթություն
1981-1986թ.թ Երևանի Կ.Մարքսի անվան պոլիտեխնիկական ինստիտուտի քիմիկատեխնոլոգիական ֆակուլտետ
Գիտական աստիճան
1997թ. քիմիական գիտությունների թեկնածու, ատենախոսության թեմա՝ «Էլիմինացման որոշ անոմալ ռեակցիաների բացահայտում՝ էլիմինացման ընդհանրացված կանոնի հիման վրա» Բ.00.03 – «Օրգանական քիմիա» մասնագիտությամբ:
2023թ․ քիմիական գիտությունների դոկտոր, ատենախոսության թեմա՝ «Պրոպարգիլային համակարգերի ֆունկցիոնալացումը C, N, O – նուկլեոֆիլներով սնդիկի (II) և կադմիումի (II) ացետատների ներկայությամբ » Բ.00.03 – «Օրգանական քիմիա» մասնագիտությամբ:
Գիտական կոչում- 2014թ. դոցենտ
Աշխատանքային փորձ
2024թ․ – մինչ այժմ 2021 թ.- մինչ այժմ | Երևանի «Հայբուսակ» համալսարանի գիտության գծով պրոռեկտոր ՀՀ ԳԱԱ ՕԴՔ ԳՏԿ օրգանական քիմիայի ինստիտուտի առաջատար գիտաշխատող |
2019թ.- մինչ այժմ | Երևանի «Հայբուսակ» համալսարանի դասախոս |
2009 թ.- 2022թ․ | Այբ կրթական հիմնադրամի «Պատանի քիմիակոսների մրցաշար», «Բնագիտության ուսանողական մրցաշար», «Քիմիկոսների ուսանողական մրցաշար» ծրագրերի համակարգող |
2009-2019 թ.թ | Խ. Աբովյանի անվան ՀՊՄՀ, դասախոս |
2003-2016 թ.թ. | Երևանի Խ. Աբովյանի անվան թ.84 միջնակարգ դպրոց, քիմիայի ուսուցիչ |
1997-2021 թ.թ | ՀՀ ԳԱԱ ՕԴՔ ԳՏԿ օրգանական քիմիայի ինստիտուտի ավագ գիտաշխատող |
1986-1997 թ.թ | ՀՀ ԳԱԱ ՕՔԻ կրտսեր գիտաշխատող |
Գիտական հետաքրքրությունների շրջանակ
Բնական չհագեցած միացությունների սինթեզ,
Մետաղօրգանական քիմիա
Թեստային և տեղեկատվական տեխնոլոգիաների կիրառումը բուհում և դպրոցում:
Անդամակցություն
2021 թ.- մինչ այժմ | Քիմիայի 010 Մասնագիտական խորհրդի գիտքարտուղար |
2010 թ.- մինչ այժմ | Հայկական քիմիական ընկերության անդամ |
2010-2021 թ.թ | Քիմիայի հանրապետական օլիմպիադայի ժյուրիի անդամ |
2015 թ. | Մենդելեևյան 49-րդ միջազգային օլիմպիադայի ժյուրիի անդամ |
2008-2011թ.թ. | ՀՀ ԳԱԱ ՕՔԻ գիտական խորհրդի անդամ |
1996-1999 թ.թ. | ՀՀ ԳԱԱ ՕՔԻ գիտական խորհրդի անդամ |
Լեզուներ՝ անգլերեն, ռուսերեն
Հրատարակված գիտական հոդվածները և ձեռնարկները – 95
ԲԱԼՅԱՆ ՔՐԻՍՏԻՆԵ ՎԱԼԵՐԻԿԻ – ԱՎԱԳ ԳԻՏԱՇԽԱՏՈՂ

Քիմիական գիտությունների թեկնածու
Կրթություն
1996-2001թ.թ Երևանի պետական համալսարանի քիմիական ֆակուլտետ
Գիտական աստիճան
2009թ. քիմիական գիտությունների թեկնածու, ատենախոսության թեմա՝ «Սնդիկօրգանական միացությունների ստացումը և փոխարկումներն ացետիլենային համակարգերի հիման վրա» Բ.00.03 – «Օրգանական քիմիա» մասնագիտությամբ:
Աշխատանքային փորձ
2021 թ.- մինչ այժմ | ՀՀ ԳԱԱ ՕԴՔ ԳՏԿ օրգանական քիմիայի ինստիտուտի ավագ գիտաշխատող |
2020թ.-մինչ այժմ | ՀՀ ԳԱԱ Գիտակրթական միջազգային կենտրոնի դասախոս |
2017թ.-մինչ այժմ | ՀՊԲՀ « Հերացի» ավագ դպրոցի քիմիայի ուսուցիչ |
2013-2014 թ.թ | Երիտասարդ գիտնականների հետազոտությունների աջակցության ծրագիր-2013 |
2009-2021 թ.թ | ՀՀ ԳԱԱ ՕԴՔ ԳՏԿ օրգանական քիմիայի ինստիտուտի գիտաշխատող |
2005-2009 թ.թ | ՀՀ ԳԱԱ ՕՔԻ կրտսեր գիտաշխատող |
Գիտական հետաքրքրությունների շրջանակ
Բնական չհագեցած միացությունների սինթեզ,
Մետաղօրգանական քիմիա
Լեզուներ՝ անգլերեն, ռուսերեն
Հրատարակված գիտական հոդվածները – 35
ՂԱԼԵՉՅԱՆ ԼԻԼԻԹ ՄԵՐՈՒԺԱՆԻ – ԱՍՊԻՐԱՆՏ

Կրթություն
2013-2019 թ – Խ.Աբովյանի անվան Հայկական պետական մանկավարժական համալսարան, կենսաբանության, քիմիայի և աշխարհագրության ֆակուլտետ
2019-ից մինչև այժմ -Հայ-Ռուսական համալսարան
Աշխատանքային փորձ
2017թ․ մինչև այժմ | ՀՀ ԳԱԱ ՕԴՔ ԳՏԿ օրգանական քիմիայի ինստիտուտի կրտսեր գիտաշխատող |
2018 թ. մինչև այժմ | Եվրասիա վարժարան, քիմիայի ուսուցչուհի |
Գիտական հետաքրքրությունների շրջանակ
Բնական չհագեցած միացությունների սինթեզ
Լեզուներ՝ ռուսերեն,անգլերեն
Հրատարակված գիտական հոդվածները և ձեռնարկները – 8
ՄՈՎՍԻՍՅԱՆ ԼՈՒՍԻՆԵ ԱՐԱՄԻ- ԿՐՏՍԵՐ ԳԻՏԱՇԽԱՏՈՂ

Կրթություն
2011-2017թթ.՝ Խ. Աբովյանի անվան հայկական պետական մանկավարժական համալսարանի կենսաբանության, քիմիայի և աշխարհագրության ֆակուլտետ
Աշխատանքային փորձ
2022 թ.- մինչ այժմ | ՀՀ ԳԱԱ ՕԴՔ ԳՏԿ օրգանական քիմիայի ինստիտուտի կրտսեր գիտաշխատող |
2021-2022թ.թ. | ՀՀ ՇՄՆ ‹‹Հիդրոօդերևութաբանության և մոնիթորինգի կենտրոն›› ՊՈԱԿ, առաջատար մասնագետ |
2020-2021թ.թ. | ՀՀ ԳԱԱ ՕԴՔ ԳՏԿ օրգանական քիմիայի ինստիտուտի կրտսեր գիտաշխատող |
2016-2020թ.թ. | Խ. Աբովյանի անվան ՀՊՄՀ, լաբորանտ |
Գիտական հետաքրքրությունների շրջանակ
Բնական չհագեցած միացությունների սինթեզ,
Լեզուներ՝ հայերեն, անգլերեն, ռուսերեն
ՀԱԿՈԲՅԱՆ ԼԻԼԻԹ ԿՈՄԻՏԱՍԻ – ԿՐՏՍԵՐ ԳԻՏԱՇԽԱՏՈՂ

Կրթություն
2014-ից մինչև այժմ Երևանի Խաչատուր Աբովյանի անվան հայկական պետական մանկավարժական համալսարանի Կենսաբանության, քիմիայի և նրանց դասավանդման մեթոդիկայի ամբիոն
Աշխատանքային փորձ
2018թ․ -2019 թ․ | Քասախի N 2 միջնակարգ դպրոց, քիմիայի ուսուցիչ |
2021 թ. մինչև այժմ | ՀՀ ԳԱԱ ՕԴՔ ԳՏԿ օրգանական քիմիայի ինստիտուտի կրտսեր գիտաշխատող |
Գիտական հետաքրքրությունների շրջանակ
Բնական չհագեցած միացությունների սինթեզ
Լեզուներ՝ գերմաներեն, ռուսերեն
ՊՈՂՈՍՅԱՆ ՀԱՅԿԱՆՈՒՇ ՌՈՒԲԵՆԻ – ԿՐՏՍԵՐ ԳԻՏԱՇԽԱՏՈՂ

haykanushpoghosyan98@gmail.com
Կրթություն
2016-2022թթ.՝ Խ. Աբովյանի անվան հայկական պետական մանկավարժական համալսարանի կենսաբանության, քիմիայի և աշխարհագրության ֆակուլտետ
Աշխատանքային փորձ
2020 թ.- մինչ այժմ | ՀՀ ԳԱԱ ՕԴՔ ԳՏԿ օրգանական քիմիայի ինստիտուտի կրտսեր գիտաշխատող |
Գիտական հետաքրքրությունների շրջանակ
Բնական չհագեցած միացությունների սինթեզ,
Լեզուներ՝ հայերեն, անգլերեն, ռուսերեն
Լաբորատորիայի 2024-2025 թ․ լավագույն արդյունքներ
- Hobosyan, N. G., Balyan, K. V., Movsisyan, L. A., Hovsepyan, V. S., Ayvazyan, A. G., Panosyan, H. A., … & Pogosyan, H. R. (2025). Efficient Regioselective Iodination of Pyrazole Derivatives Mediated by Cadmium (II) Acetate.ChemistryOpen, e202400443.
https://doi.org/10.1002/open.202400443
- Hobosyan, N. G., Balyan, K. V., Movsisyan, L. A., Hovsepyan, V. S., Sargsyan, H. B., Pogosyan, H. R., … & Terlemezyan, H. L. (2025). Novel Synthetic Strategy and Field Testing Tomato Pinworm Pheromone in Armenia.Chemistry & Biodiversity, e202403455.
https://doi.org/10.1002/cbdv.202403455

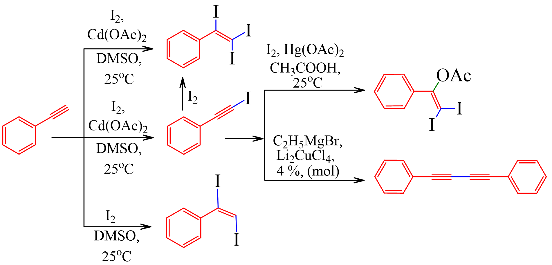
- 3. Sargsyan, H. B., Balyan, K. V., Pogosyan, H. R., Movsisyan, L. A., Hovsepyan, V. S., Ayvazyan, A. G., & Hobosyan, N. G. (2024). Iodination of Substituted Alkynes in the Presence of Cadmium (II) Acetate.ChemistrySelect,9(17), e202303432.
https://doi.org/10.1002/slct.202303432

4.Hobosyan, N.G., Balyan, K.V., Pogosyan, H.R. et al. Iodination of Phenylacetylene and Some Transformations of the Resulting Iodo Derivatives. Russ J Org Chem 60, 1698–1704 (2024).
https://doi.org/10.1134/S1070428024090124
- Արտոնագիր

Մասնակցություն դրամաշնորհների և մրցույթների
1․ ԳԻՏԱԿԱՆ ԱՐԴՅՈՒՆԱՎԵՏՈՒԹՅԱՆ ԽԹԱՆՄԱՆ ԴՐԱՄԱՇՆՈՐՀԱՅԻՆ ԾՐԱԳԻՐ – 2025», 25RG-1D120
2․ ԳԻՏԱԿԱՆ ԵՎ ԳԻՏԱՏԵԽՆԻԿԱԿԱՆ ԳՈՐԾՈՒՆԵՈՒԹՅԱՆ ՊԱՅՄԱՆԱԳՐԱՅԻՆ (ԹԵՄԱՏԻԿ) ՖԻՆԱՆՍԱՎՈՐՈՒՄ, 21T-1D270
3․ 22YSSPD-013 ԵԳԱԾ «Գիտական սարքերի և/կամ նյութերի ձեռքբերման մրցույթ»
2022 թ․
4.24YSSPI-033–ԵԳԱԾ «Գիտական հոդվածների տպագրության համար երիտասարդ գիտնականների խրախուսման մրցույթ» 2024 թ․
2020-2025 Թ․Թ ՏՊԱԳՐՎԱԾ ԱՇԽԱՏԱՆՔՆԵՐԻ ՑՈՒՑԱԿ
Балян К.В., Погосян А.Р., Мовсисян Л.А., Аттарян О.С., Айвазян А.Г., Саргсян A.Б., Обосян Н.Г. Иодирование пропаргилпиразола в присутствии ацетата кадмия (II). ЖОрХ, 2023, т.59, с.1223–1227. doi.org/10.1134/S107042802309021X
Hmayak B. Sargsyan, Kristine V. Balyan, Haykanush R. Pogosyan, Lusine A. Movsisyan, Varduhi S. Hovsepyan, Armen G. Ayvazyan, Nina G. Hobosyan․ Iodination of Substituted Alkynes in the Presence of Cadmium (II) Acetate․ Chemistry Select, 2024, 9 (17), 6․ doi.org/10.1002/slct.202303432
Ervand G. Paronikyan, Shushanik Sh. Dashyan, Suren S. Mamyan, Ruzanna G. Paronikyan, Ivetta M. Nazaryan, Kristine V. Balyan, Hrachik V. Gasparyan, Sona A. Buloyan, Lernik S. Hunanyan, Nina G. Hobosyan․ Synthesis and Psychotropic Properties of Novel Condensed Triazines for Drug Discovery․ Pharmaceuticals, 2024, 17 (7), 829, doi.org/10.3390/ph17070829
Обосян Н. Г., К. В. Балян, Погосян А. Р., Мовсисян Л. А., Овсепян В. С․, Саргсян А. Б. Йодирование фенилацетилена и некоторые превращения полученных иодпроизводных. ЖОрХ, 2024, https://doi.org/10.1134/S1070428024090124
Hovsepyan V. S., Babakhanyan A. V., Balyan K. V., Harutyunyan N. A, Khamisyan Sh. G., Hobosyan N. G., Sargsyan H. B. Synthesis and antimicrobial properties of quaternary ammonium salts with two propargyl groups. Russian Journal of General Chemistry, 2024, Vol. 94, No. 7, pp. 1603–1609. doi.org/10.1134/S1070363224070016
Nina G. Hobosyan, Kristine V. Balyan, Lusine A. Movsisyan, Varduhi S. Hovsepyan, Armen G. Ayvazyan, Henrik A. Panosyan, Hovhannes S. Attaryan, Hmayak B. Sargsyan, Haykanush R. Pogosyan – Efficient Regioselective Iodination of Pyrazole Derivatives Mediated by Cadmium(II) Acetate, ChemistryOpen, 2025, 14 (7), 2191-1363, doi.org/10.1002/open.202400443
Nina G. Hobosyan, Kristine V. Balyan, Lusine A. Movsisyan, Varduhi S. Hovsepyan, Hmayak B. Sargsyan, Haykanush R. Pogosyan, Harutyun R. Harutyunyan, Armine A. Manvelyan, Margarit H. Ghazaryan, Samvel S. Asatryan – Novel Synthetic Strategy and Field Testing Tomato Pinworm Pheromone in Armenia, Chemistry & Biodiversity, 2025, 22 (7), 1612-1872, doi.org/10.1002/cbdv.202403455
Балян К.В., Галечян Л.М., Акобян А.А., Обосян Н.Г. О получении терминальных йодалкинов. Современная наука: актуальные вопросы, достижения и инновации: XVI Международная научно-практическая конференция. (Сб. статей по материалам международной научно-практической конференции) 2020, с.21.
Обосян Н.Г., Погосян А.Р., Дашян Ш.Ш., Балян К.В. O взаимодействии пиранопиридинкарбонитрилов с ацетилацетоном в присутствии ацетата ртути (II). Proceedings of the 8th International Scientific and Practical Coference INTERNATIONAL FORUM: PROBLEMS AND SCIENTIFIC SOLUTIONS. Sept. 6-8, 2021, Melbourne, Australia, p.p.315-319.
Balyan K., Poghosyan H., Movsisyan L., Sargsyan H., Hobosyan N. – THE REACTION OF IODINE WITH SUBSTITUTED ALKYNES IN THE PRESENCE OF CADMIUM (II) ACETATE․ New emerging trends in chemistry conference-2023․
Hovsepyan V., Safaryan G., Stepanyan H., Muradyan R., Balyan K., Sargsyan H., Hobosyan N., Babakhanyan A. – SYNTHESIS AND ANTIMICROBIAL ACTIVITY OF QUATERNARY AMMONIUM SALTS CONTAINING UNSATURATED GROUPS WITH ALKYL OR ALKYOXYCARBONYL METHYL GROUPS․ New emerging trends in chemistry conference-2023․
Balyan K., Sahakyan E., Ginovyan J., Alaverdyan S., Sargsyan H., Asatryan S, Hobosyan N. – NEW PREPARATIVE FORMS BASED ON PHEROMONE OF THE ORIENTAL FRUIT MOTH․ New emerging trends in chemistry conference-2023.
Обосян Н., Балян К., Мовсисян Л., Овсепян В., Саргсян A. НОВЫЙ ПУТЬ СИНТЕЗА АЦЕТИЛЕНИДОВ РТУТИ. Inter Conf, 2022, (15(117)), 306-311.
Հոբոսյան Ն․, Սարգսյան Հ․, Մովսիսյան Լ․, Պողոսյան Հ․, Հովսեփյան Վ․, Ասատրյան Ս․, Մարինոսյան Յ․, Բալյան Ք․ Պտղատու ծառատեսակների վնասատուների դեմ պայքարի ֆերոմոնի պատրաստուկային ձև. Արտոնագիր, AM20230110Y. ՀՀ մտավոր սեփականության գրասենյակ, 2024․ https://old.aipa.am/search_mods/patents/view_item.php?id=877YAM20230110Y&language=en